销售电话:0632-5113088
外贸电话:0632-5113066
公司传真:0632-5113155
公司地址:山东省枣庄市市中区水处理剂产业园(十里泉东路1号)
E-Mail:th@thwater.com
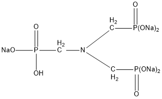
Penta sodium salt of Amino Trimethylene Phosphonic Acid (ATMP•Na5)
别名:氨基三亚甲基膦酸五钠 CAS No. 2235-43-0(5-Na),20592-85-2(x-Na)
分子式 C3H7NO9P3Na5 相对分子质量:409
结构式

ATMP•Na5是ATMP的钠盐溶液,可阻止水中成垢盐类形成水垢,特别是碳酸钙垢的形成。 ATMP•Na5用于锅炉水处理、油田回注水系统、工业和市政清洁水处理及冷却水处理的金属缓蚀。ATMP•Na5作为通用型低成本阻垢剂,对锌盐及磷酸盐有较好的缓蚀作用,螯合性能较好。
| 项 目 | 指 标 |
| HG/T 4328-2012 | |
| 外 观 | 无色或淡黄色透明液体 |
| 活性组分(以ATMP计) /% | ≥28.0 |
| 活性组分(以ATMP·Na5计) /% | ≥38.3 |
| 氯化物 (以Cl-计) /% | ≤1.0 |
| pH值(1%水溶液) | 10.0~11.0 |
| 密度(20℃)/g·cm-3 | 1.38~1.48 |
| Fe含量(以Fe计) /mg·L-1 | ≤10.0 |
ATMP•Na5与其它有机磷酸、聚羧酸或盐等复配成有机碱性水处理剂,用于各种不同水质条件下的循环冷却水系统。
ATMP•Na5用塑料桶包装,每桶30Kg 或250Kg,也可根据用户需要确定。贮于室内阴凉处,贮存期十二个月。
ATMP•Na5为弱碱性,操作时注意劳动保护,应避免与皮肤、眼睛等接触,接触后用大量清水冲洗。