
+ 十二烷基二甲基苄基氯化铵 1227 + 稳定性二氧化氯溶液 ClO2 + TH-406 高效复合型杀菌剂 + TH-409 高效粘泥剥离剂 + 异噻唑啉酮 + 杀菌剂 优氯净 |
销售电话:0632-5113088
外贸电话:0632-5113066
公司传真:0632-5113155
公司地址:山东省枣庄市市中区水处理剂产业园(十里泉东路1号)
E-Mail:th@thwater.com
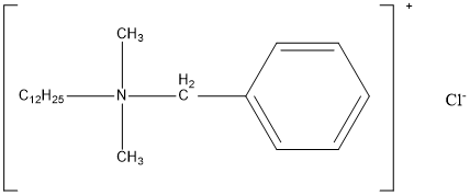
Dodecyl Dimethyl Benzyl ammonium Chloride 1227
别名:洁尔灭、苯扎氯铵、杀藻胺 DDBAC
CAS No. 139-07-1
分子式:C21H38NCl 相对分子质量:340.0
结构式
1227是一种阳离子表面活性剂,属非氧化性杀菌剂,具有广谱、高效的杀菌灭藻能力,能有效地控制水中菌藻繁殖和粘泥生长,并具有良好的粘泥剥离作用和一定的分散、渗透作用,同时具有一定的去油、除臭能力和缓蚀作用。
1227毒性小,无积累性毒性,并易溶于水,并不受水硬度影响,因此广泛应用于石油、化工、电力、纺织等行业的循环冷却水系统中,用以控制循环冷却水系统菌藻滋生,对杀灭硫酸盐还原菌有特效。
1227可作为纺织印染行业的杀菌防霉剂及柔软剂、抗静电剂、乳化剂、调理剂等。
项 目 | 指 标 | |
HG/T 2230-2006 | -- | |
外 观 | 无色至微黄色透明液体 | 淡黄色透明液体 |
活性物含量 /% | ≥44.0 | ≥80.0 |
铵盐含量 /% | ≤1.0 | ≤1.0 |
pH值(1%水溶液) | 6.0~8.0 (原液) | 6.0~8.0 |
1227作杀菌灭藻剂,一般投加剂量为50-100mg/L;作粘泥剥离剂,使用量为200-300mg/L,需要时可投加适量有机硅类消泡剂。1227可与其它杀菌剂,例如异噻唑啉酮、戊二醛、二硫氰基甲烷等配合使用,可起到增效作用,但不能与氯酚类药剂共同使用。投加1227后循环水中因剥离而出现污物,应及时滤除或捞出,以免泡沫消失后沉积。
1227切勿与阴离子表面活性剂如聚丙烯酸、水解聚马等混用。
1227使用塑料桶包装,每桶25kg或200 kg;80%含量的为190kg/桶。1227贮于室内阴凉通风处,贮存期为一年。
1227略有杏仁味,对皮肤无明显刺激,接触皮肤时,用水冲洗即可。